قوانين الفيزياء بالرموز

قوانين الفيزياء بالرموز، على مر السنين اكتشف العلماء شيئًا واحدًا، وهو أن الطبيعة بشكل عام أكثر تعقيدًا، مما نعطيها الفضل؛ وتعتبر قوانين الفيزياء أساسية، على الرغم من أن العديد منها يشير إلى أنظمة مثالية أو نظرية يصعب تكرارها في العالم الحقيقي.
وفي هذا المقال سنتناول أهم قوانين الفيزياء الأساسية، فتابعوا موقع مقال للتعرف على قوانين الفيزياء بالرموز.
محتويات المقال
قانون الجاذبية العالمية
نُشر عمل السير إسحاق نيوتن الرائد في الفيزياء لأول مرة عام 1687م في كتابه “المبادئ الرياضية للفلسفة الطبيعية”.
المعروف باسم “المبادئ”، وفي ذلك الكتاب أوضح نظريات حول الجاذبية والحركة.
وينص قانون الجاذبية الفيزيائي الخاص به على أن الجسم الذي يجذب جسمًا آخر نحوه، يتناسب بشكل مباشر مع كتلته المجمعة، ويرتبط عكسياً بمربع المسافة بينهما.
ومثل مجالات العلوم الأخرى، تبني قوانين الفيزياء الجديدة، أو تعدل القوانين الحالية، والبحث النظري.
وتعتمد النظرية النسبية لألبرت أينشتاين، التي طورها في أوائل القرن العشرين، على النظريات التي طورها السير إسحاق نيوتن قبل أكثر من 200 عام، وهكذا.
شاهد أيضًا: معلومات عن الفوتون في الفيزياء
- F = G × m1m2 / r^2
حيث أن “F”: هي القوة الناتجة عن الجاذبية، و”G”: هو ثابت الجذب العام بين الكتل.
و”m1″: هي كتلة الجسيم الأول، و”m2″ هي كتلة الجسيم الثاني، و”r”: هو البعد بين الجسمين.
قوانين نيوتن الثلاثة للحركة
قوانين نيوتن الثلاثة للحركة، والموجودة أيضًا في كتاب “المبادئ”، تحكم كيفية تغير حركة الأجسام المادية.
ويحددون العلاقة الأساسية، بين تسارع الجسم والقوى المؤثرة عليه.
القانون الأول
سيبقى الكائن في حالة سكون أو في حالة حركة موحدة ما لم تتغير تلك الحالة، بواسطة قوة خارجية.
- F = 0 ‹=› dv/dt = 0∑
القانون الثاني
إذا أثرت قوة على جسم ما فإنها تكسبه تسارعًا، والذي يتناسب طردياً مع قوته، وعكسياً مع كتلته.
- F = dp/dt = d(mv)/dt
وباستخدام تسارع الجسم، يمكن التعبير عن القانون كالتالي:
- F = m × dv/dt = ma
حيث أن “F”: هي القوة، و”m”: هي كتلة الجسم، و”a”: هي تسارع الجسم.
القانون الثالث
لكل فعل في الطبيعة رد فعل متساوي في المقدار، ومضاد له في الاتجاه.
- Fa-›b = – Fb-›a
وتكون هذه القوانين الثلاثة التي قام بوضعها العالم نيوتن معًا أساس الميكانيكا الكلاسيكية.
وهي التي توضح كيفية تصرف الأجسام بصورة جسدية تحت تأثير قوة خارجية.
قانون حفظ الكتلة والطاقة
قدم ألبرت أينشتاين معادلته الشهيرة E = mc^2 في مقال في مجلة عام 1905م بعنوان “في الديناميكا الكهربائية للأجسام المتحركة”.
وقدمت الورقة نظريته في النسبية الخاصة، بناءً على افتراضين:
- مبدأ النسبية: قوانين الفيزياء هي نفسها لجميع الأطر المرجعية بالقصور الذاتي.
- مبدأ ثبات سرعة الضوء: ينتشر الضوء دائمًا من خلال فراغ بسرعة محددة، مستقلة عن حالة حركة الجسم الباعث.
ويقول المبدأ الأول ببساطة أن قوانين الفيزياء تنطبق بالتساوي على الجميع في جميع المواقف، والمبدأ الثاني هو الأكثر أهمية.
وينص على أن سرعة الضوء في الفراغ ثابتة، على عكس جميع أشكال الحركة الأخرى، لا يتم قياسها بشكل مختلف للمراقبين في إطارات مرجعية بالقصور الذاتي المختلفة.
قوانين الديناميكا الحرارية
قوانين الديناميكا الحرارية هي في الواقع مظاهر محددة لقانون الحفاظ على كتلة الطاقة، من حيث صلتها بالعمليات الديناميكية الحرارية.
تم استكشاف الحقل لأول مرة في خمسينيات القرن السادس عشر، بواسطة أوتو فون جيريك في ألمانيا وروبرت بويل وروبرت هوك في بريطانيا.
واستخدم العلماء الثلاثة مضخات التفريغ، التي ابتكرها فون جيريك، لدراسة مبادئ الضغط ودرجة الحرارة والحجم.
قانون زيروث: ويجعل قانون زيروث للديناميكا الحرارية فكرة درجة الحرارة ممكنة.
القانون الأول
ويوضح القانون الأول للديناميكا الحرارية العلاقة بين الطاقة الداخلية، والحرارة المضافة، والعمل داخل نظام.
- U = Q – W
حيث أن “U”: هي الطاقة الداخلية، و”Q”: هي الحرارة المضافة، و”W”: هو الشغل.
القانون الثاني
يتعلق القانون الثاني للديناميكا الحرارية بالتدفق الطبيعي للحرارة داخل نظام مغلق.
- δQ = T ds
حيث أن “Q”: هي كمية الحرارة، و “T” هي درجة الحرارة، “ds” التغير في الانتروبيا.
القانون الثالث
ينص القانون الثالث للديناميكا الحرارية على أنه من المستحيل إنشاء عملية ديناميكية حرارية فعالة تمامًا، ولا يمكن الوصول بدرجة الحرارة إلى الصفر المطلق.
تابع أيضًا: موضوع تعبير عن علماء الفيزياء كامل
قوانين الكهرباء الساكنة
يحكم قانونان فيزيائيان العلاقة بين الجسيمات المشحونة كهربائيًا، وقدرتها على توليد القوة الكهروستاتيكية والمجالات الكهروستاتيكية.
قانون كولوم: تم تسمية قانون كولوم على اسم تشارلز أوغستين كولوم، الباحث الفرنسي، الذي كان يعمل في القرن الثامن عشر الميلادي.
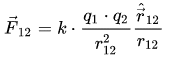
والذي ينص على أنه تتناسب القوة بين شحنتين نقطتين طرديًا مع حجم كل شحنة، وتتناسب عكسًا مع مربع المسافة بين مركزيهما.
وإذا كان للأجسام نفس الشحنة، موجبة أو سالبة، فسوف تتنافر؛ وإذا كانت لديهم شحنة معاكسة، فسوف يجتذبون بعضهم البعض.
حيث أن ““: هي القوة المتبادلة بين الشحنتين بوحدة نيوتن، و”“: قيمة الشحنة الأولى بالكولوم، و”“: قيمة الشحنة الثانية بالكولوم.
و” “: متجه الوحدة وقيمته تساوي واحد واتجاهه من الشحنة الأولى إلى الشحنة الثانية، و” “: مربع المسافة بين الشحنتين بالمتر المربع.
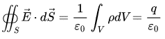
قانون غاوس: تم تسمية قانون غاوس على اسم العالم كارل فريدريش غاوس، عالم الرياضيات الألماني الذي عمل في أوائل القرن التاسع عشر.
وينص هذا القانون على أن التدفق الصافي للمجال الكهربائي عبر سطح مغلق يتناسب طرديًا، مع الشحنة الكهربائية المغلقة.
واقترح جاوس قوانين مماثلة تتعلق بالمغناطيسية، والكهرومغناطيسية ككل.
حيث أن القسم الأيسر من المعادلة هو تدفق الحقل الكهربائي ““ عبر السطح ““، و”“: هي نفاذية الفراغ، و”“.
فهو حجم الفضاء المحتوي على ““، و”“: هي كثافة الشحنة الكهربائية في وحدة الحجم، و”“: هيكمية الشحنة داخل الحجم.
مبدأ أرشميدس
تم اكتشاف مبدأ أرشميدس في القرن الثالث قبل الميلاد، ومن قبل عالم الرياضيات اليوناني، أرشميدس.
ينص المبدأ على أنه عندما يكون الجسم مغمورًا جزئيًا أو كليًا في سائل، فإنه يواجه دفعة صعودية مساوية لوزن السائل الذي أزاحه، أي أن فقدان الوزن الظاهر يساوي وزن السائل المزاح.
- Fb = gV
حيث أن “Fb“: هي قوة الطفو، و”“: هي الكثافة، و”g”: هي عجلة الجاذبية الأرضية، و”V”: حجم السائل المزاح.
قانون أفوجادرو
في عام 1811م تم اكتشاف هذا القانون من قبل العالم الإيطالي أفوجادرو، وينص هذا القانون على أن الحجم المتساوي.
وذلك لجميع الغازات تحت نفس ظروف درجة الحرارة، والضغط يحتوي على عدد متساوٍ من الجزيئات.
- V/n = k
حيث أن “V”: هو حجم الغاز، و”n”: هي كمية المادة للغاز، و”k”: هو ثابت الغاز.
قانون أوم
ينص قانون أوم على أن التيار الذي يمر عبر موصل بين نقطتين يتناسب طرديًا مع فرق الجهد عبر النقطتين، بشرط ألا تتغير الحالة الفيزيائية، ودرجة الحرارة، وما إلى ذلك للموصل.
- R = V/I
حيث أن “R”: هي المقاومة، و”V”: هو فرق الجهد الكهربي، و”I”: هي شدة التيار الكهربي.
اخترنا لك: بحث عن قانون كيرشوف في الفيزياء
في نهاية مقال قوانين الفيزياء بالرموز، نجد أن ما وراء الفيزياء الأساسية، في مجال النسبية وميكانيكا الكم، وجد العلماء أن هذه القوانين لا تزال سارية، على الرغم من أن تفسيرها يتطلب بعض الصقل ليتم تطبيقها.

